
题库满减券1
2025-12-31 23:59:59到期

题库满减券2
2025-12-31 23:59:59到期

题库满减券3
2025-12-31 23:59:59到期
A.
B.
C.
D.
A.集合、顺序结构、树形结构、图结构
B.集合、线性结构、链式结构、图结构
C.集合、线性结构、树形结构、图结构
D.线性结构、顺序结构、链式结构、图结构
A.25
B.50
C.51
D.100
A.
B.
C.
D.
A.运算算法实现简单
B.便于随机存取数据
C.不需要预先分配存储空间
D.结点个数受到限制
A.链栈不用预先考虑容量的大小
B.链栈出栈时不需要判断栈空
C.链栈进栈时需要判断栈满
D.链栈出栈时需要判断栈满
A.rear=rear+1
B.rear=(rear+1)%(m一1)
C.rear=(rear+1)%m
D.rear=(rear+1)%(m十1)
A.
B.
C.
D.
A.0个
B.10个
C.19个
D.20个
;则该树中的叶结点个数为 A.
B.
C.
D.
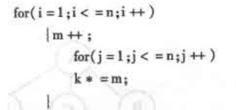
A.O(1)
B.O(11)
C.O(n2)
D.O(1092n)
A.n×(n—1)
B.(n—1)×(n-1)
C.(n+1)×(n+1)
D.n×n
A.1次
B.2次
C.3次
D.4次
全专业电子资料、题库、学位、网课
最高直省2344元
上千+科次精品网课
买网课即送全真模考题库
五千+科次教材资料
电子资料满三件9折
五千+科次在线题库
全真呈现历年考试试题
Copyright © 2010 - 2023 湖南求实创新教育科技有限公司 All Right Reserved.
温馨提示:如您需要的资料本网暂时没有,请于工作日08:00-18:00,点击这里,联系客服及时补充资料。