纠错
全专业资料、题库、学位、网课
最高直省2344元
上千+科次精品网课
买网课即送全真模考题库
五千+科次教材资料
电子资料满三件9折
五千+科次在线题库
全真呈现历年考试试题
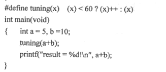
1、[主观题]【程序阅读题】 阅读下列程序,写出程序的运行结果

2、[填空题]若采用8位数据位、1个停止位、带奇校验的异步串行通信方式,如果波特率为1200bit/s,传输1200个数据的时间为_s,传输效率为_%。
3、[主观题]【程序设计题】根据题意编写成完整的程序。


4、[主观题]【改错题】每小题只有一处错误或不妥,请指出,并将其改正。

5、[主观题]【分析题】题39图所示为 LPC2138微控制器的定时器工作原理图。现用引脚P0.7控制蜂鸣器的导通与否,当P0.7输出为低电平时,控制蜂鸣器发出声音;当P0.7输出为高电平时,控制蜂鸣器不发声。已知晶振时钟频率(fosc)为24MHz,系统时钟频率(frcLx)为15MHz;每0.1秒中断处理程序 IRQ_Timer0被调用-一次。试完善下面的程序段,将程序中带有标号的空缺内容补充完整。
