
题库满减券1
2026-12-31 23:59:59到期

题库满减券2
2026-12-31 23:59:59到期

题库满减券3
2026-12-31 23:59:59到期
A.P(A)
B.
C.P(B)
D.
A.
B.
C.
D.1
,则X服从的分布是 A.N(0,1)
B.N(0,√2)
C.N(0,2)
D.N(0,4)
,则下列式子正确的是 A.
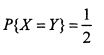
B.P{X=Y}=1
C.
D.
则常数a= A.
B.
C.1
D.2
,则
= A.7
B.8
C.9
D.10
A.-2
B.-1
C.1
D.2
A.大数定律是描述大量随机试验的平均结果稳定性的定理
B.大数定律说明运用少量随机试验就能准确地预测结果
C.大数定律仅适用于有限次随机试验
D.大数定律表明所有随机事件都会趋向于一个确定值
是0的置信度为1-α的置信区间,则下列表述正确的是 A.
包含n(1-α)个样本
B.
包含θ的概率为100(1-α)%
C.n 固定,α减小时,置信区间长度减小
D.α 固定,n增加时,置信区间长度增大
=0.05下,检验假设
:μ≠80,则检验统计量的值为 A.0.5
B.1.5
C.2.5
D.3.5
全专业电子资料、题库、学位、网课
最高直省2344元
上千+科次精品网课
买网课即送全真模考题库
五千+科次教材资料
电子资料满三件9折
五千+科次在线题库
全真呈现历年考试试题