
题库满减券1
2026-12-31 23:59:59到期

题库满减券2
2026-12-31 23:59:59到期

题库满减券3
2026-12-31 23:59:59到期
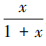
A.arcsin x
B.arctan x
C.arccos x
D.
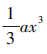
A.1
B.e
C.
D.
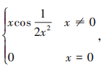
则f(x) 在x=0处 A.连续
B.不连续
C.连续且可导
D.不连续且不可导
是常数项级数
收敛的______条件。 A.充分非必要
B.必要非充分
C.充分必要
D.非充分非必要
-6在x=2处取得极值,则常数a= A.
B.5
C.8
D.10
,则f[f(1)] =____。
相切。
,则x=100时的边际收益=____。
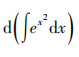
=____。
=_____。
在点(1,1) 的全微分 dz=____。
- 6x+1的单调递增区间为_____。 全专业电子资料、题库、学位、网课
最高直省2344元
上千+科次精品网课
买网课即送全真模考题库
五千+科次教材资料
电子资料满三件9折
五千+科次在线题库
全真呈现历年考试试题